Aprendo en Línea Ministerio de Educación Chile
Recursos Educativos y Documentos Curriculares
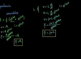
Impedancia | Khan Academy en Español
Impedancia | Khan Academy en Español
Ciencias Naturales
Video Khan Academy
Unidad de Currículum y Evaluación, Ministerio de Educación. Teléfono +56 2 24066000.



