Aprendo en Línea Ministerio de Educación Chile
Abrir / cerrar menú
Aprendo en línea
Docente
Mi Página
Búsqueda
buscar
buscar
Búsqueda
buscar
Curriculum Nacional
Currículum Nacional
.
Portal Currículum Nacional
Aprendo en línea Estudiantes
Aprendo en línea Docentes
Aprendo en línea Apoderados
Mi Portal CN
Biblioteca Digital Escolar
Música en línea
Curso:
Educación Parvularia
1° básico
2° básico
3° básico
4° básico
5° básico
6° básico
7° básico
8° básico
1° Medio
2° Medio
3° Medio
4° Medio
Recursos Educativos y Documentos Curriculares
Guardar
favorito inactivo
favorito activo
Compartir
icono compartir
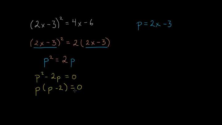
Usando la esctructura de la ecuación para resolver la cuadrática | Khan Academy en Español
Descargas
Descripción
Objetivos
Clasificaciones
Licenciamiento
Usando la esctructura de la ecuación para resolver la cuadrática | Khan Academy en Español
18.7kb
Usando la esctructura de la ecuación para resolver la cuadrática | Khan Academy en Español
Licencia Youtube
Usando la esctructura de la ecuación para resolver la cuadrática | Khan Academy en Español
Video Khan Academy
Instagram Currículum Mineduc
YouTube Currículum Nacional
Facebook UCE
X Mineduc
Escríbenos
Escríbenos
Cerrar
Envíanos un comentario
Email:
Resumen
Opciones
Consulta de Contenidos
Consulta libros Biblioteca Digital Escolar
Otro
Subir
+a
Agrandar texto
-a
Achicar texto